| ESTRATEGIA PARA INCREMENTAR LA DISPONIBILIDAD DE NUTRIENTES, AUMENTAR RESERVAS, CALIDAD Y RENDIMIENTO EN UVA SUGRAONE EN PIURA |
Ing. Martin David Lozano Castillo; Gerente de Ventas - Avibiol
El acondicionamiento de suelo es un proceso a largo plazo y continuo, que permite obtener resultados importantes sobre el desbloqueo de los nutrientes, aumentar la retención de agua y oxigenación, minimizar la compactación y aumentar la CIC del mismo. Estas condiciones básicas favorecen la exploración, desarrollo y crecimiento de las raíces y de la planta, lo cual, incrementará los niveles de reservas para la etapa de producción garantizando obtener mayor rendimiento de fruta de calidad al final de la campaña. La validación de los acondicionadores de suelo AVIBIOL + Estrategia CODA fue realizada por la Ing. Pamela Galleguillos (Chile) y supervisada por el Ing. Roberto Bezerra (Brasil) en la empresa FruitXchance durante la campaña 2019. Investigación presentada en el CLAVE-2019.

El peso de raíces incrementó un 176% en las plantas tratadas con AVIBIOL + Estrategia CODA en la etapa de formación (Fig.1). A mayor cantidad de raíces se espera un mayor contenido de reservas.


El almidón es la principal fuente de reserva de carbohidratos en la vid y especialmente en las raíces. Durante la etapa de formación, la acumulación de almidón se incrementó a partir de los 88 DDC y esta acumulación fue mayor en las plantas que recibieron AVIBIOL+ Estrategia CODA (Fig.2).

De igual manera que el almidón, la arginina, principal fuente de reserva de nitrógeno se acumula principalmente en las raíces. En la etapa de formación el contenido de arginina fue mayor en las plantas tratadas con AVIBIOL + Estrategia CODA (Fig.3).

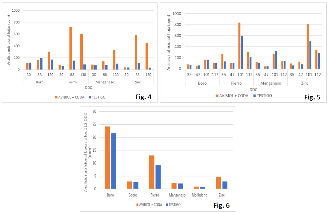
En el caso del contenido foliar de macronutrientes no se vio diferencias notables en los análisis realizados durante las etapas de formación y producción. Sin embargo, la aplicación de AVIBIOL + Estrategia CODA si aumentó la disponibilidad de los microelementos (B, Fe, Mn y Zn), y su contenido foliar fue significativamente mayor durante ambas etapas: Formación (Fig.4) y Producción (Fig.5). Un efecto similar se pudo observar en las bayas (Fig.6).
En el caso de la calidad de fruta, los grados brix a cosecha fueron 1,3 puntos mayor en la fruta de las plantas tratadas con AVIBIOL + Estrategia CODA (Fig. 7).

Finalmente, el peso de raíces a los 110 DDC, en la etapa de producción, fue un 211% superior en las plantas que recibieron el AVIBIOL + Estrategia CODA (Fig. 8).

En términos productivos, el rendimiento en el área tratada con AVIBIOL + Estrategia CODA fue de 6.799 Kg/ha más que el testigo; además se obtuvo más kilos de fruta categoría K1 y menor desgrane de racimos frente a dicho control.

|
La aplicación del biofertilizante AVIBIOL + Estrategia CODA durante la campaña 2019 permitió desbloquear nutrientes, incrementar la CIC, lograr una mayor exploración de las raíces. El aumento de la masa radicular esta directamente relacionado con una mayor asimilación de nutrientes y mayor contenido de reservas, que son de gran importancia para la brotación en etapa de producción y para la campaña siguiente; evitando así, el desgaste prematuro de la planta. AVIBIOL + Estrategia CODA son una herramienta clave para el manejo sostenible de los suelos y garantizar la producción agrícola en el tiempo. |